Understanding MS Spectrum Similarity for Metabolism Analysis
Metabolism analysis is a cornerstone of understanding biological processes, and MS spectrum similarity plays a pivotal role in deciphering complex metabolic data. By comparing mass spectrometry (MS) spectra, researchers can identify metabolites, track metabolic pathways, and uncover biomarkers. This blog delves into the intricacies of MS spectrum similarity, its applications in metabolism analysis, and how it can revolutionize metabolic research. Whether you're a scientist or a lab professional, this guide will equip you with the knowledge to leverage MS spectrum similarity effectively. (Metabolism Analysis, MS Spectrum Similarity, Biomarker Identification)
What is MS Spectrum Similarity?

MS spectrum similarity refers to the degree of resemblance between two mass spectrometry spectra. It is a critical tool in metabolomics, enabling researchers to compare and match spectral data to identify unknown compounds. By quantifying similarity, scientists can infer the presence of specific metabolites, even in complex biological samples. (Mass Spectrometry, Metabolomics, Compound Identification)
Why is MS Spectrum Similarity Important for Metabolism Analysis?

Metabolism analysis relies on accurate identification and quantification of metabolites. MS spectrum similarity enhances this process by:
- Identifying unknown metabolites by matching spectra to databases.
- Tracking metabolic pathways by comparing spectra across different conditions.
- Discovering biomarkers for diseases or physiological states.
This approach ensures robust and reproducible results in metabolic studies. (Metabolic Pathways, Biomarker Discovery, Spectral Matching)
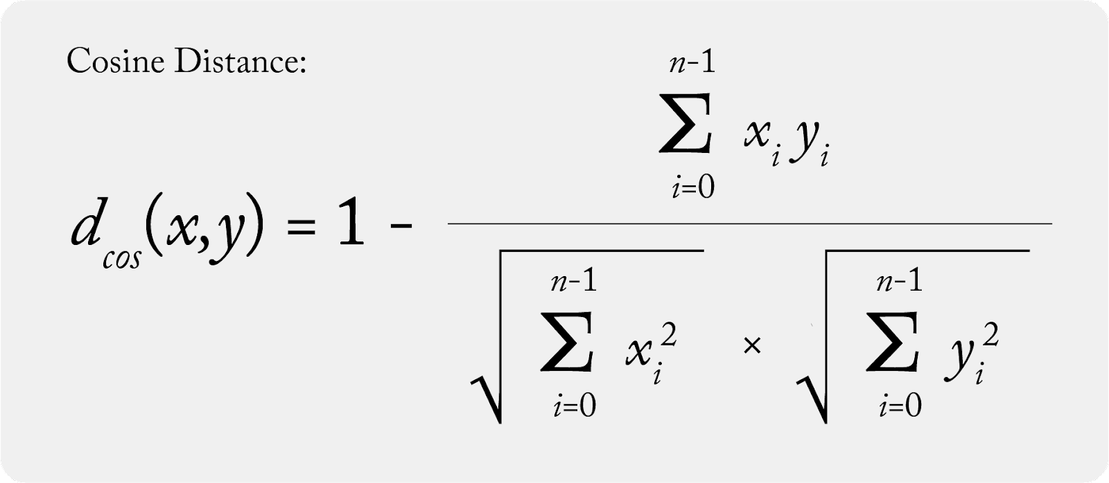
Methods for Calculating MS Spectrum Similarity

Several algorithms and metrics are used to compute MS spectrum similarity. Common methods include:
| Method | Description |
|---|---|
| Cosine Similarity | Measures the cosine of the angle between two spectra vectors. |
| Dot Product | Calculates the sum of the product of corresponding intensities. |
| Pearson Correlation | Assesses linear correlation between spectra. |

Choosing the right method depends on the specific research question and data characteristics. (Cosine Similarity, Dot Product, Pearson Correlation)
📌 Note: Always preprocess spectral data (e.g., peak alignment, normalization) before calculating similarity to ensure accurate results.
Applications of MS Spectrum Similarity in Metabolism Analysis

MS spectrum similarity has diverse applications, including:
- Disease Diagnosis: Identifying metabolic signatures of diseases like cancer or diabetes.
- Drug Development: Assessing drug efficacy by monitoring metabolic changes.
- Environmental Toxicology: Detecting pollutants’ impact on metabolic pathways.
These applications highlight the versatility of MS spectrum similarity in advancing metabolic research. (Disease Diagnosis, Drug Development, Environmental Toxicology)
Checklist: Key Steps in MS Spectrum Similarity Analysis

- Acquire high-quality MS spectral data.
- Preprocess data (e.g., noise reduction, peak alignment).
- Select an appropriate similarity metric.
- Compare spectra against databases or reference samples.
- Validate results through orthogonal methods (e.g., NMR).
Following this checklist ensures accurate and reliable analysis. (Data Acquisition, Preprocessing, Validation)
MS spectrum similarity is an indispensable tool in metabolism analysis, offering insights into metabolic processes and biomarker discovery. By mastering its methods and applications, researchers can unlock new possibilities in metabolomics and beyond. Whether you're exploring disease mechanisms or developing drugs, understanding MS spectrum similarity is key to success. (Metabolomics, Biomarker Discovery, Drug Development)
What is MS spectrum similarity?
+
MS spectrum similarity measures the resemblance between two mass spectrometry spectra, aiding in metabolite identification and metabolic analysis.
How is MS spectrum similarity calculated?
+
It is calculated using algorithms like cosine similarity, dot product, or Pearson correlation, depending on the research needs.
What are the applications of MS spectrum similarity?
+
It is used in disease diagnosis, drug development, environmental toxicology, and biomarker discovery.